Решение Управления Алтайского края по государственному регулированию цен и тарифов от 27.11.2018 № 347
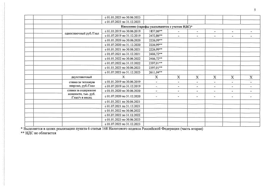
"Об установлении тарифов на тепловую энергию, поставляемую муниципальным унитарным предприятием "Мирный" Родинского района Алтайского края потребителям Родинского района Алтайского края, на 2019–2023 годы"
"Об установлении тарифов на тепловую энергию, поставляемую муниципальным унитарным предприятием "Мирный" Родинского района Алтайского края потребителям Родинского района Алтайского края, на 2019–2023 годы"
Номер опубликования: 2201201811290087
Дата опубликования:
29.11.2018
