Официальное опубликование правовых актов
ОФИЦИАЛЬНОЕ ОПУБЛИКОВАНИЕ
Решение Управления Алтайского края по государственному регулированию цен и тарифов от 27.11.2018 № 344
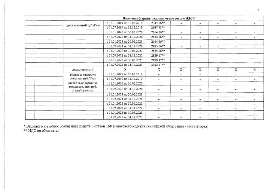
"Об установлении тарифов на тепловую энергию, поставляемую Муниципальным Унитарным Предприятием "Коммунальщик" потребителям Первомайского района Алтайского края, на 2019–2023 годы"
Номер опубликования: 2201201811290062
Дата опубликования: 29.11.2018
Страница №5 из 5:
Увеличить