Официальное опубликование правовых актов
ОФИЦИАЛЬНОЕ ОПУБЛИКОВАНИЕ
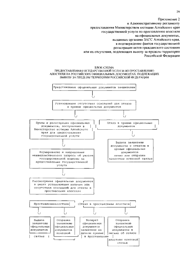
Приказ Министерства юстиции Алтайского края от 10.07.2018 № 394
"Об утверждении административного регламента предоставления государственной услуги по проставлению апостиля на официальных документах, выданных органами ЗАГС Алтайского края, в подтверждение фактов государственной регистрации актов гражданского состояния или их отсутствия, подлежащих вывозу за пределы территории Российской Федерации"
Номер опубликования: 2201201807110008
Дата опубликования: 11.07.2018
Страница №29 из 29:
Увеличить