Официальное опубликование правовых актов
ОФИЦИАЛЬНОЕ ОПУБЛИКОВАНИЕ
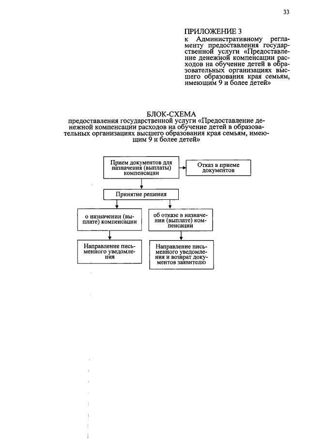
Приказ Министерства труда и социальной защиты Алтайского края от 25.12.2017 № 583
"О внесении изменения в приказ Главного управления Алтайского края по труду и социальной защите от 29.06.2015 № 214"
Номер опубликования: 2201201712260004
Дата опубликования: 26.12.2017
Страница №33 из 33:
Увеличить