Официальное опубликование правовых актов
ОФИЦИАЛЬНОЕ ОПУБЛИКОВАНИЕ
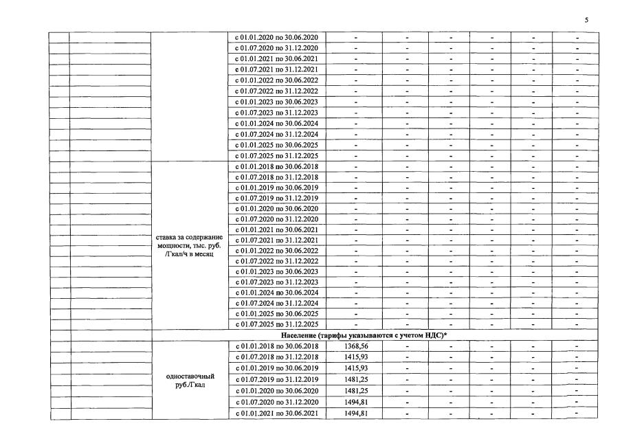
Решение Управления Алтайского края по государственному регулированию цен и тарифов от 19.12.2017 № 703
"Об установлении тарифов на тепловую энергию, поставляемую муниципальным унитарным предприятием жилищно-коммунальное хозяйство "Голухинское" потребителям Заринского района Алтайского края, на 2018-2025 годы"
Номер опубликования: 2201201712200020
Дата опубликования: 20.12.2017
Страница №5 из 7:
Увеличить