Официальное опубликование правовых актов
ОФИЦИАЛЬНОЕ ОПУБЛИКОВАНИЕ
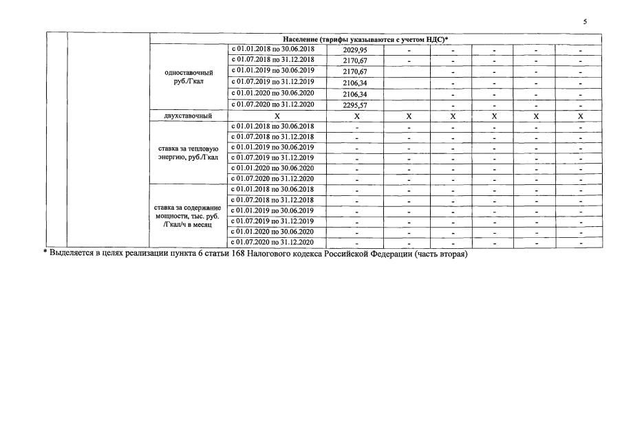
Решение Управления Алтайского края по государственному регулированию цен и тарифов от 14.12.2017 № 636
"Об установлении тарифов на тепловую энергию, поставляемую Федеральным государственным бюджетным учреждением "Центральное жилищно-коммунальное управление" Министерства обороны Российской Федерации потребителям Алтайского края, на 2018-2020 годы"
Номер опубликования: 2201201712180005
Дата опубликования: 18.12.2017
Страница №5 из 5:
Увеличить