Официальное опубликование правовых актов
ОФИЦИАЛЬНОЕ ОПУБЛИКОВАНИЕ
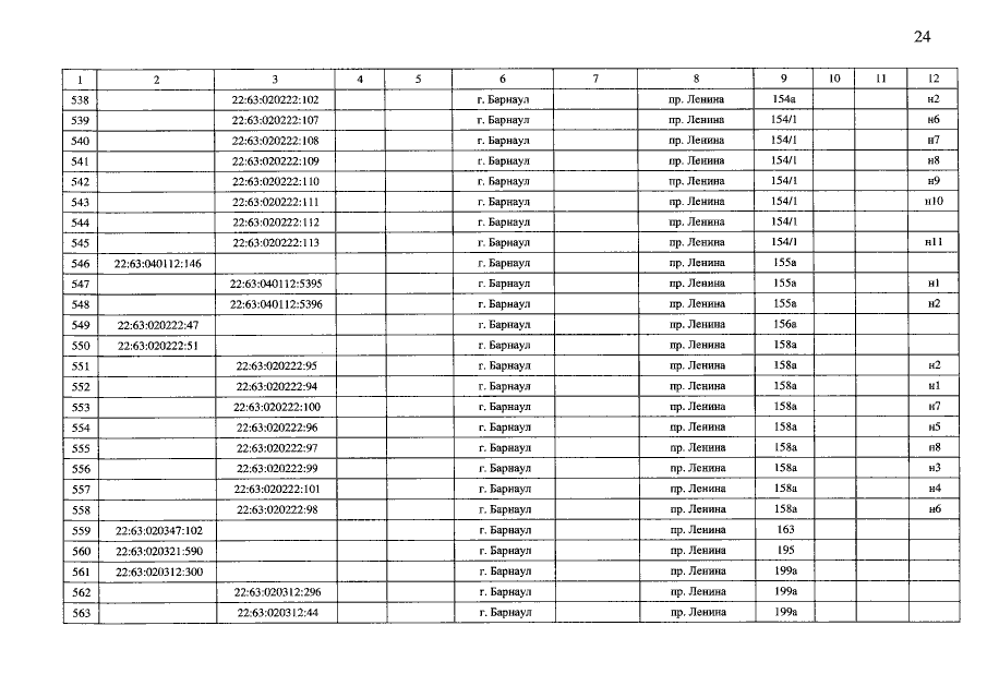
Приказ управления Алтайского края по развитию предпринимательства и рыночной инфраструктуры от 28.11.2017 № 141
"Об утверждении перечня объектов недвижимого имущества, в отношении которых налоговая база определяется как кадастровая стоимость, на 2018 год"
Номер опубликования: 2201201711290014
Дата опубликования: 29.11.2017
Страница №24 из 121:
Увеличить