Официальное опубликование правовых актов
ОФИЦИАЛЬНОЕ ОПУБЛИКОВАНИЕ
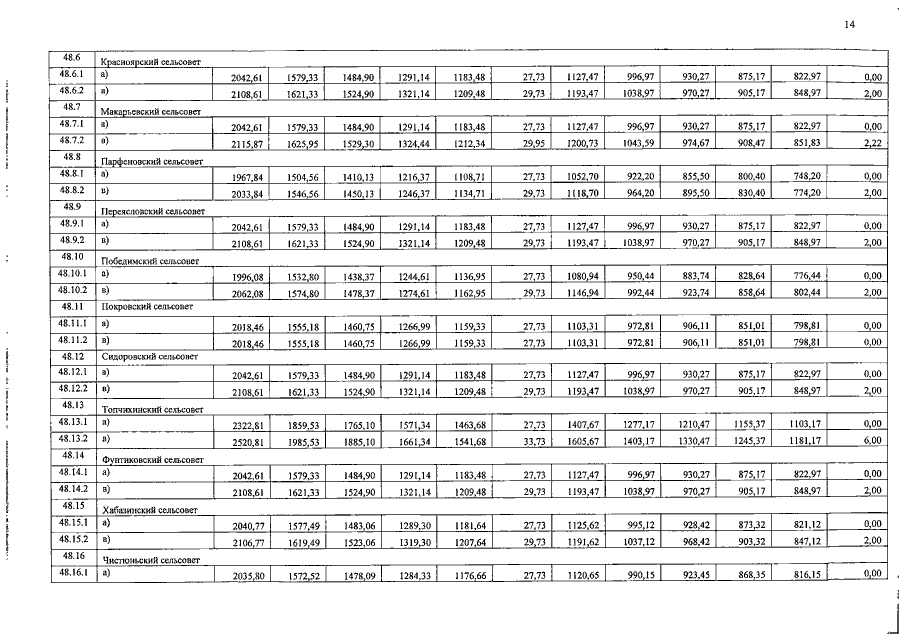
Решение Управления Алтайского края по государственному регулированию цен и тарифов от 01.06.2017 № 48
"О внесении изменений в решение управления Алтайского края по государственному регулированию цен и тарифов от 23.12.2016 № 674"
Номер опубликования: 2201201706020006
Дата опубликования: 02.06.2017
Страница №14 из 15:
Увеличить