Официальное опубликование правовых актов
ОФИЦИАЛЬНОЕ ОПУБЛИКОВАНИЕ
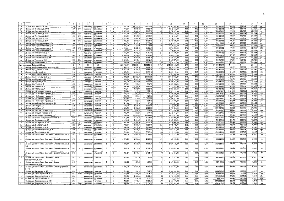
Приказ Министерства строительства, транспорта, жилищно-коммунального хозяйства Алтайского края от 10.03.2017 № 146
"О внесении изменений в приказ Главного управления строительства, транспорта, жилищно-коммунального и дорожного хозяйства Алтайского края от 19.10.2016 № 517"
Номер опубликования: 2201201703130005
Дата опубликования: 13.03.2017
Страница №6 из 18:
Увеличить