Официальное опубликование правовых актов
ОФИЦИАЛЬНОЕ ОПУБЛИКОВАНИЕ
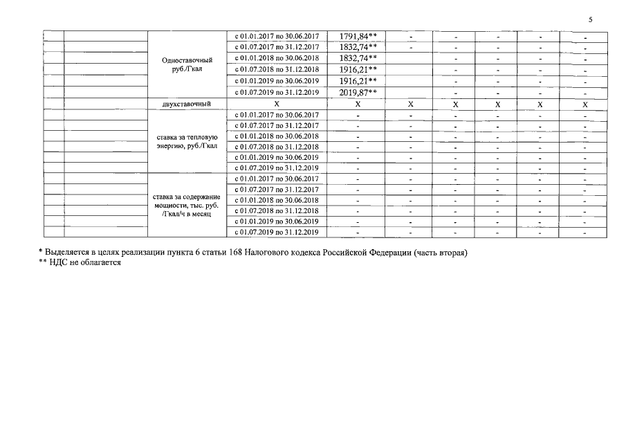
Решение Управления Алтайского края по государственному регулированию цен и тарифов от 16.12.2016 № 560
"Об установлении тарифов на тепловую энергию, поставляемую обществом с ограниченной ответственностью "ДомСервис" потребителям Красногорского района Алтайского края, на 2017-2019 годы"
Номер опубликования: 2201201612220005
Дата опубликования: 22.12.2016
Страница №5 из 5:
Увеличить