Официальное опубликование правовых актов
ОФИЦИАЛЬНОЕ ОПУБЛИКОВАНИЕ
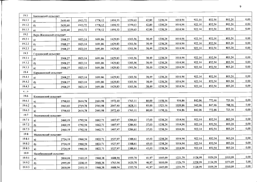
Решение Управления Алтайского края по государственному регулированию цен и тарифов от 05.10.2016 № 280
"О внесении изменений в решение управления Алтайского края по государственному регулированию цен и тарифов от 25.12.7015 № 773"
Номер опубликования: 2201201610060007
Дата опубликования: 06.10.2016
Страница №9 из 13:
Увеличить