Официальное опубликование правовых актов
ОФИЦИАЛЬНОЕ ОПУБЛИКОВАНИЕ
Приказ Главного управления строительства, транспорта, жилищно-коммунального и дорожного хозяйства Алтайского края от 01.04.2016 № 103
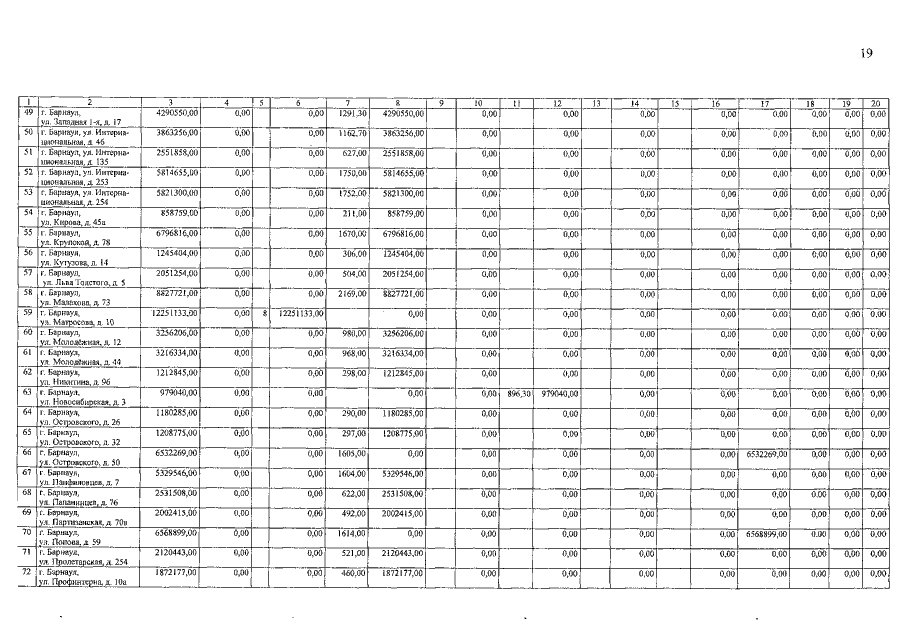
"Об утверждении краткосрочного плана реализации в 2016-2017 годах краевой программы "Капитальный ремонт общего имущества в многоквартирных домах, расположенных на территории Алтайского края" на 2014-2043 годы"
Номер опубликования: 2201201604010007
Дата опубликования: 01.04.2016
Страница №19 из 30:
Увеличить