Закон Алтайского края от 01.04.2026 № 22-ЗС
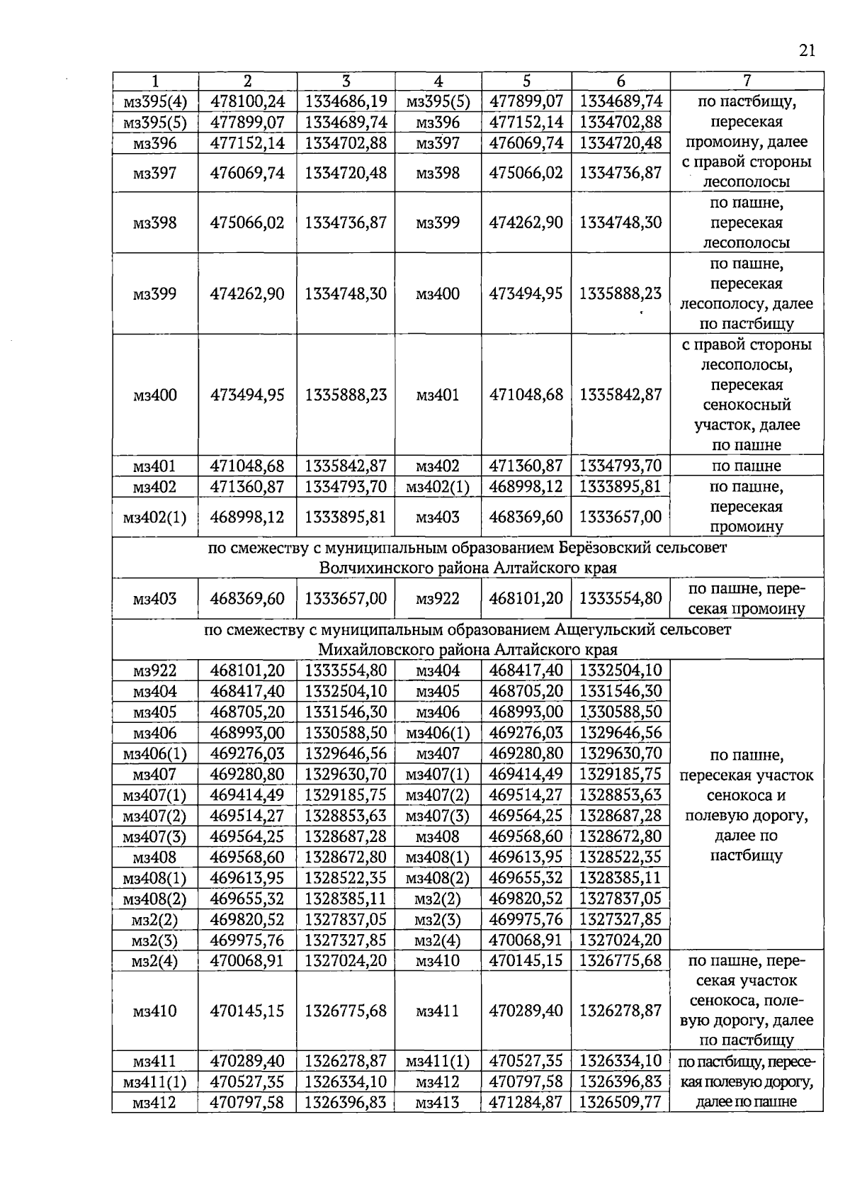
"О внесении изменений в приложение 1 к закону Алтайского края "Об установлении границ муниципального образования муниципальный округ Ключевский район Алтайского края"
"О внесении изменений в приложение 1 к закону Алтайского края "Об установлении границ муниципального образования муниципальный округ Ключевский район Алтайского края"
Номер опубликования: 2200202604030001
Дата опубликования:
03.04.2026
