Официальное опубликование правовых актов
ОФИЦИАЛЬНОЕ ОПУБЛИКОВАНИЕ
Постановление Правительства Алтайского края от 14.11.2025 № 435
"О внесении изменений в постановление Правительства Алтайского края от 27.12.2024 № 526"
(Зарегистрирован 17.11.2025 № 1670)
Номер опубликования: 2200202511170001
Дата опубликования: 17.11.2025
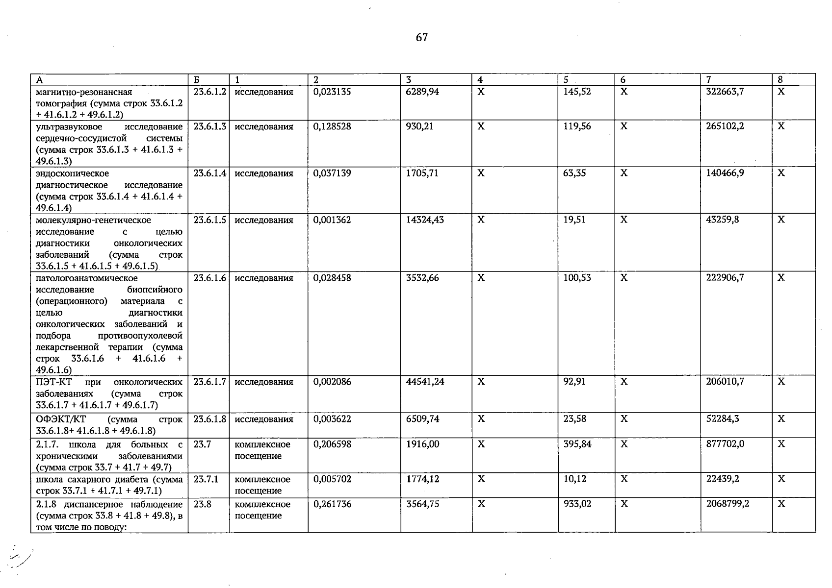
Страница №67 из 116:
Увеличить