Официальное опубликование правовых актов
ОФИЦИАЛЬНОЕ ОПУБЛИКОВАНИЕ
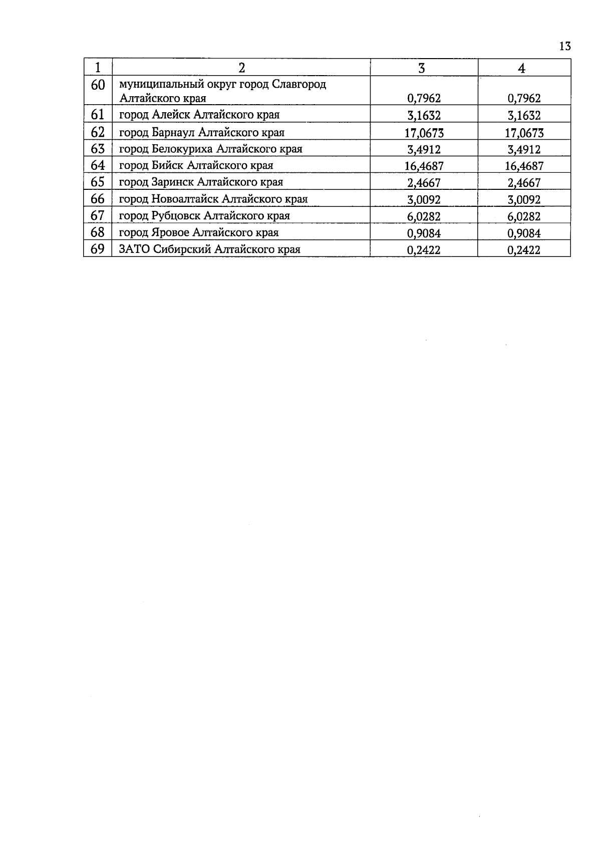
Постановление Алтайского краевого Законодательного Собрания от 30.10.2025 № 282
"О проекте закона Алтайского края "О краевом бюджете на 2026 год и на плановый период 2027 и 2028 годов"
Номер опубликования: 2200202511010002
Дата опубликования: 01.11.2025
Страница №13 из 19:
Увеличить