Официальное опубликование правовых актов
ОФИЦИАЛЬНОЕ ОПУБЛИКОВАНИЕ
Постановление Правительства Алтайского края от 23.07.2025 № 299
"О внесении изменений в постановление Правительства Алтайского края от 28.12.2023 № 516"
(Зарегистрирован 24.07.2025 № 1074)
Номер опубликования: 2200202507240002
Дата опубликования: 24.07.2025
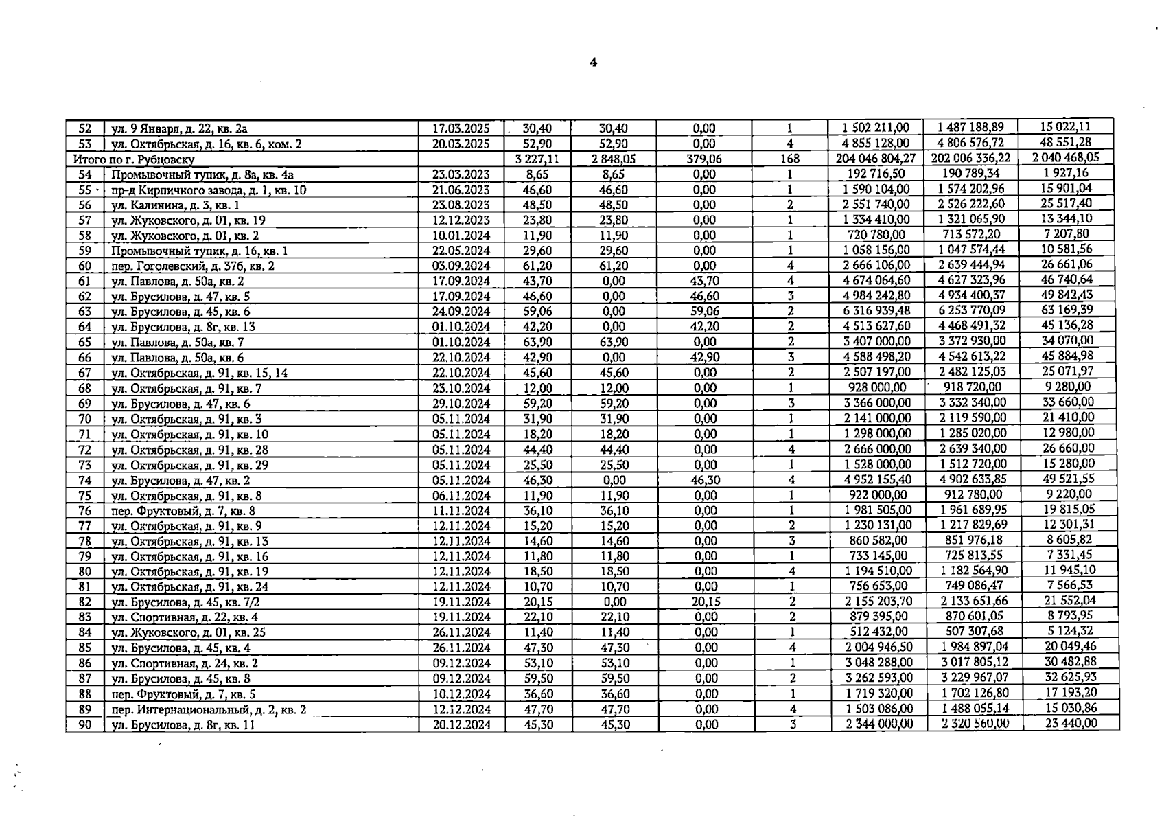
Страница №4 из 6:
Увеличить