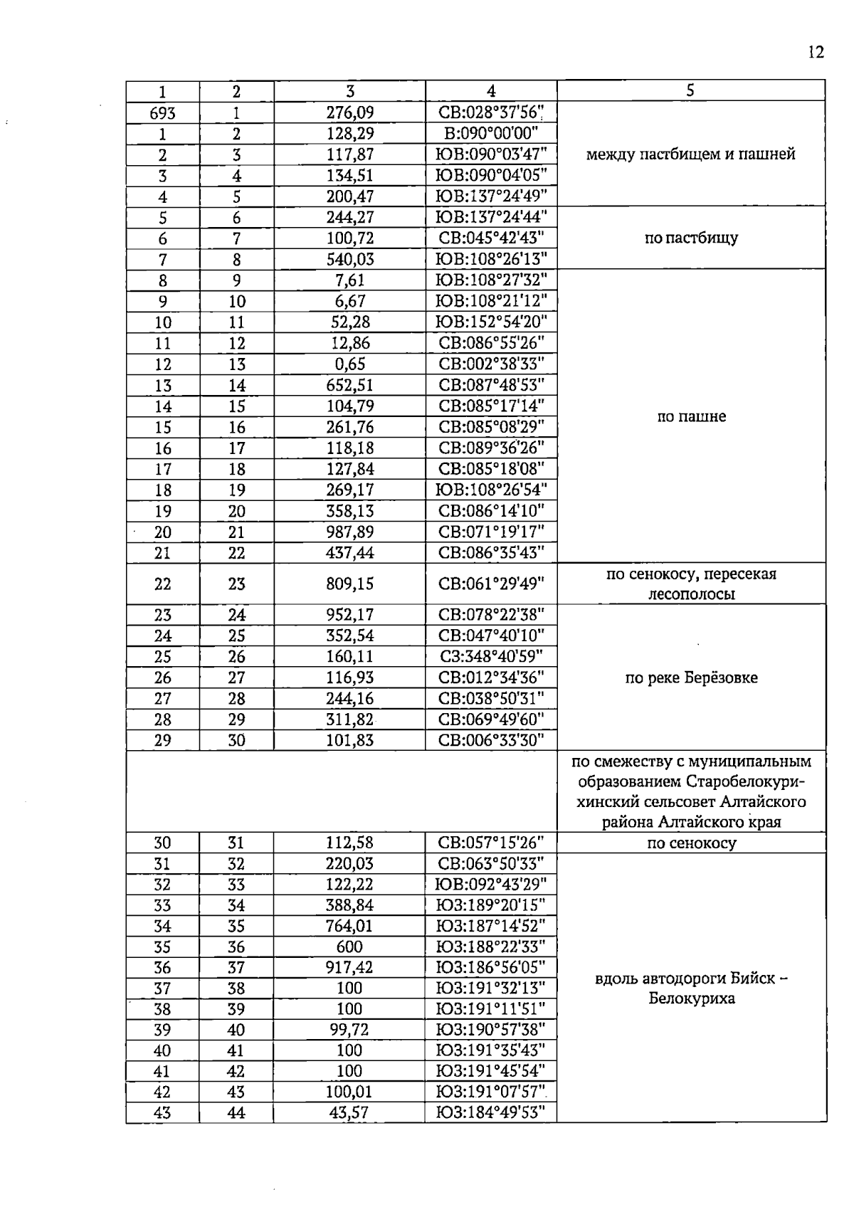
Закон Алтайского края от 06.06.2025 № 42-ЗС
"О внесении изменения в приложение 1 к закону Алтайского края "О статусе и границах муниципального и административно-территориального образования город Белокуриха Алтайского края"
"О внесении изменения в приложение 1 к закону Алтайского края "О статусе и границах муниципального и административно-территориального образования город Белокуриха Алтайского края"
Номер опубликования: 2200202506090008
Дата опубликования:
09.06.2025
