Официальное опубликование правовых актов
ОФИЦИАЛЬНОЕ ОПУБЛИКОВАНИЕ
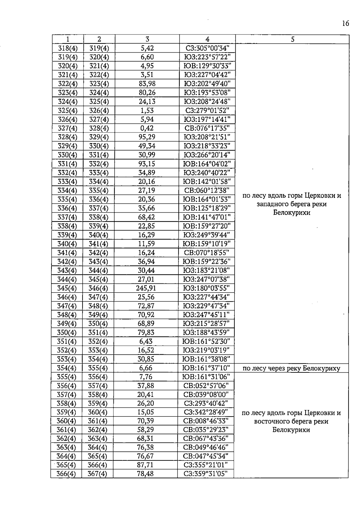
Закон Алтайского края от 06.06.2025 № 38-ЗС
"О внесении изменений в приложения 1 и 10 к закону Алтайского края "О статусе и границах муниципальных и административно-территориальных образований Смоленского района Алтайского края"
Номер опубликования: 2200202506090006
Дата опубликования: 09.06.2025
Страница №16 из 26:
Увеличить