Официальное опубликование правовых актов
ОФИЦИАЛЬНОЕ ОПУБЛИКОВАНИЕ
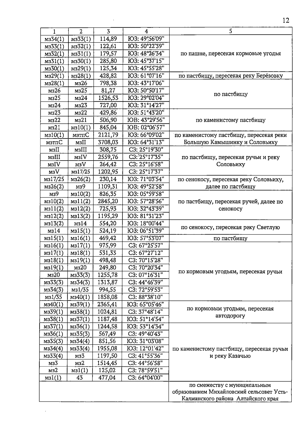
Закон Алтайского края от 06.06.2025 № 39-ЗС
"О внесении изменений в закон Алтайского края "О статусе и границах муниципальных и административно-территориальных образований Петропавловского района Алтайского края"
Номер опубликования: 2200202506090005
Дата опубликования: 09.06.2025
Страница №12 из 16:
Увеличить