Официальное опубликование правовых актов
ОФИЦИАЛЬНОЕ ОПУБЛИКОВАНИЕ
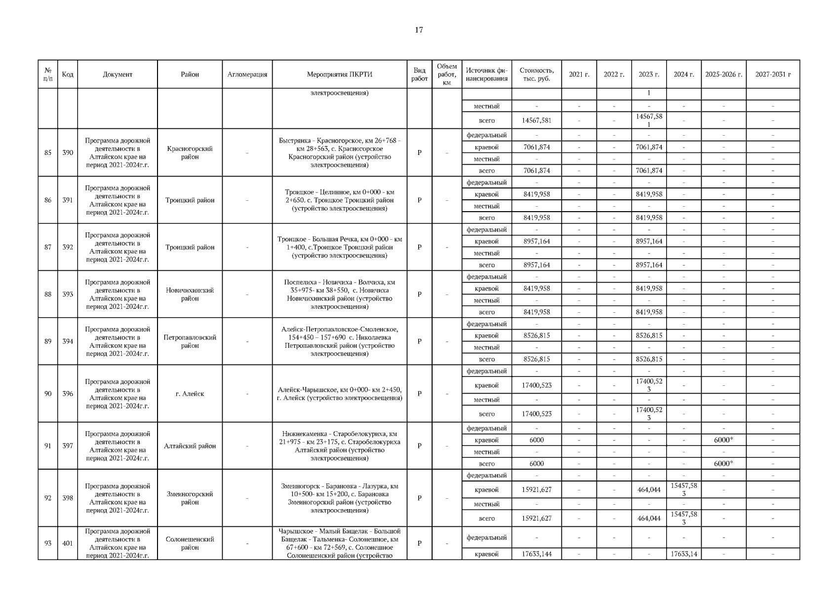
Постановление Правительства Алтайского края от 06.03.2025 № 75
"Об утверждении программы комплексного развития транспортной инфраструктуры Алтайского края и комплексной схемы организации транспортного обслуживания населения общественным транспортом Алтайского края"
(Зарегистрирован 11.03.2025 № 286)
Номер опубликования: 2200202503120002
Дата опубликования: 12.03.2025
Страница №17 из 776:
Увеличить