Официальное опубликование правовых актов
ОФИЦИАЛЬНОЕ ОПУБЛИКОВАНИЕ
Указ Губернатора Алтайского края от 05.12.2024 № 188
"О внесении изменений в указ Губернатора Алтайского края от 04.02.2019 № 15"
Номер опубликования: 2200202412060008
Дата опубликования: 06.12.2024
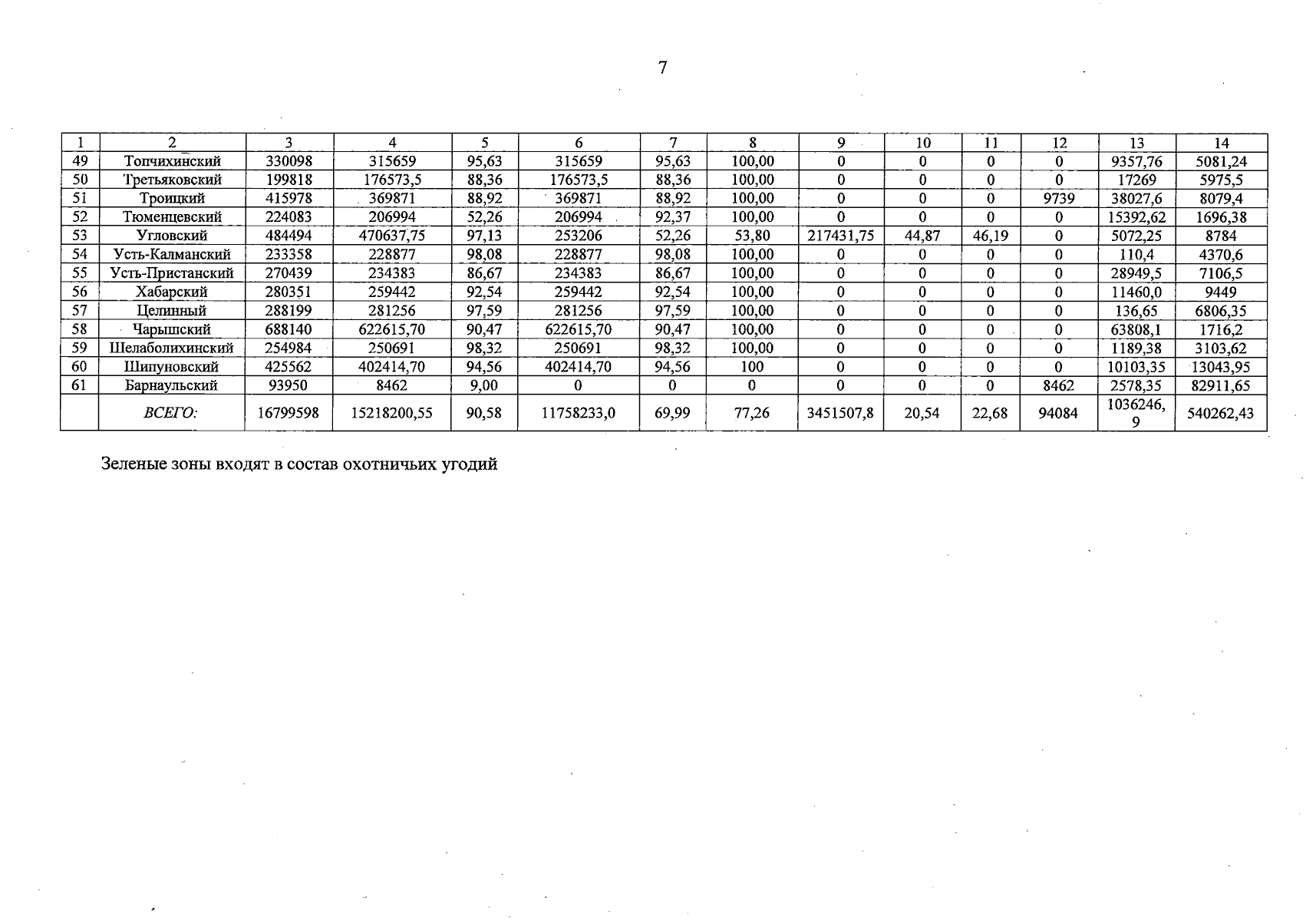
Страница №7 из 44:
Увеличить