Официальное опубликование правовых актов
ОФИЦИАЛЬНОЕ ОПУБЛИКОВАНИЕ
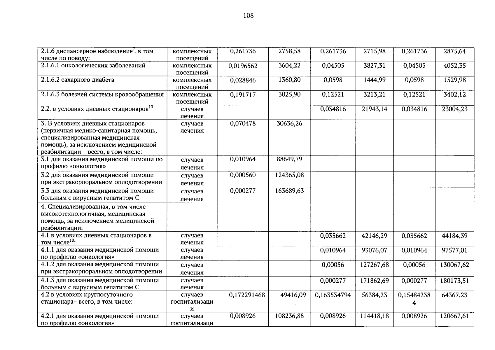
Постановление Правительства Алтайского края от 28.12.2023 № 543
"Об утверждении Территориальной программы государственных гарантий бесплатного оказания гражданам медицинской помощи на 2024 год и на плановый период 2025 и 2026 годов"
Номер опубликования: 2200202312290031
Дата опубликования: 29.12.2023
Страница №108 из 366:
Увеличить