Официальное опубликование правовых актов
ОФИЦИАЛЬНОЕ ОПУБЛИКОВАНИЕ
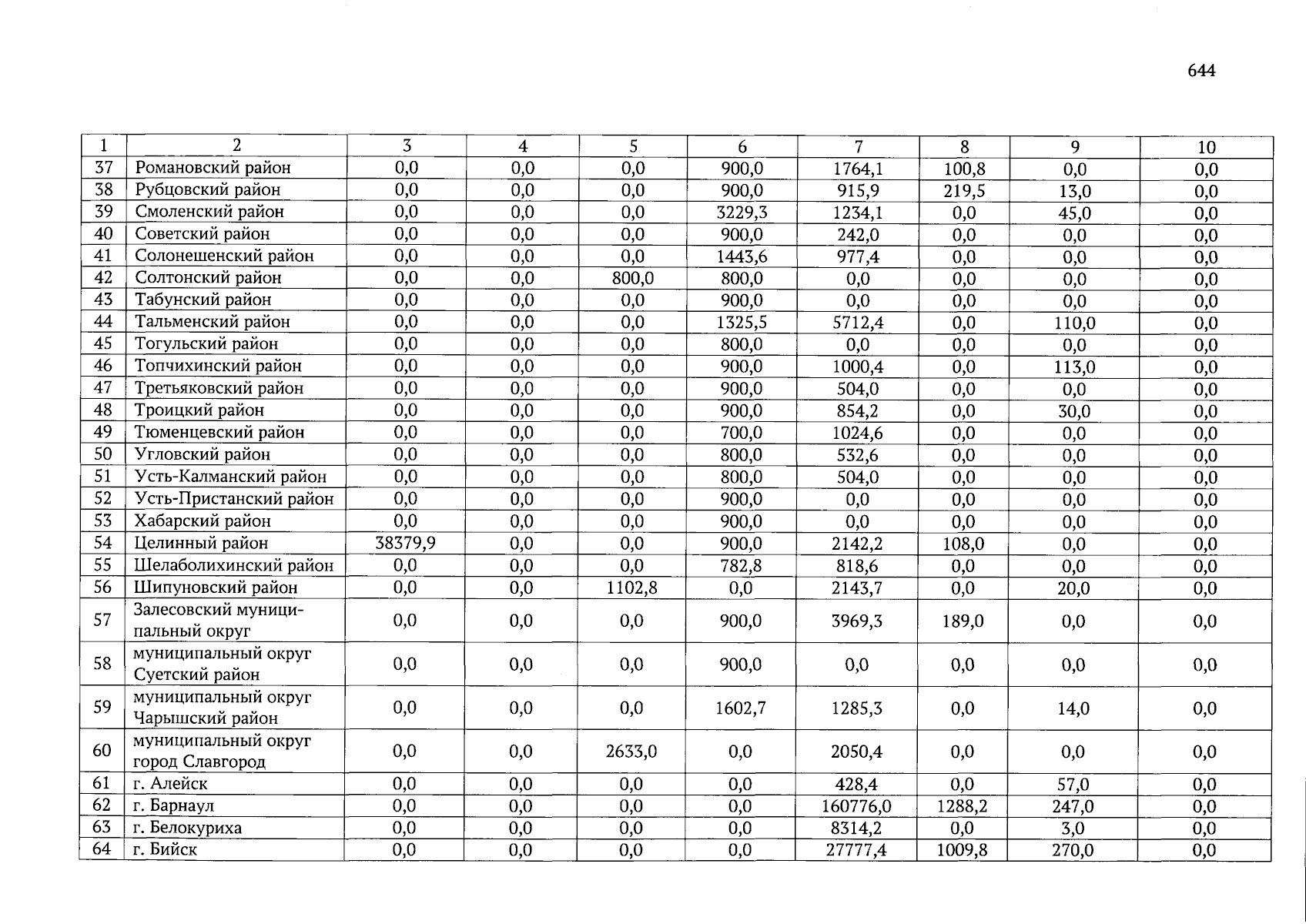
Закон Алтайского края от 05.12.2023 № 95-ЗС
"О краевом бюджете на 2024 год и на плановый период 2025 и 2026 годов"
Номер опубликования: 2200202312060001
Дата опубликования: 06.12.2023
Страница №644 из 751:
Увеличить