Официальное опубликование правовых актов
ОФИЦИАЛЬНОЕ ОПУБЛИКОВАНИЕ
Постановление Правительства Алтайского края от 07.10.2022 № 366
"О внесении изменений в постановление Правительства Алтайского края от 26.12.2019 № 541"
Номер опубликования: 2200202210100006
Дата опубликования: 10.10.2022
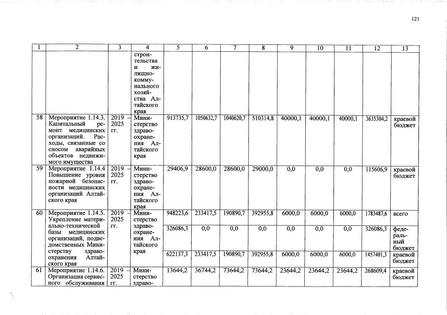
Страница №121 из 157:
Увеличить