Официальное опубликование правовых актов
ОФИЦИАЛЬНОЕ ОПУБЛИКОВАНИЕ
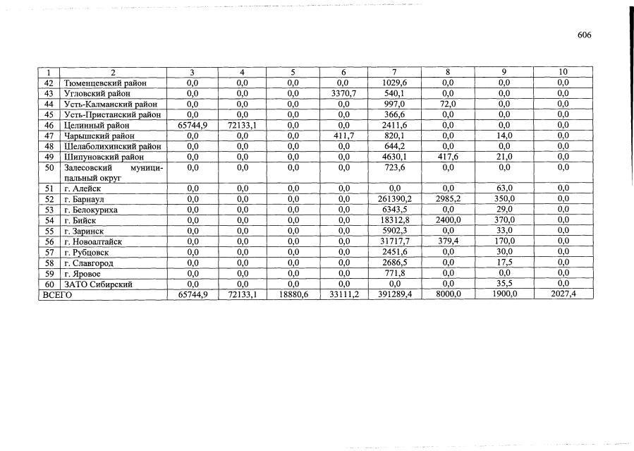
Закон Алтайского края от 01.03.2022 № 9-ЗС
"О внесении изменений в закон Алтайского края "О краевом бюджете на 2022 год и на плановый период 2023 и 2024 годов"
Номер опубликования: 2200202203020001
Дата опубликования: 02.03.2022
Страница №606 из 623:
Увеличить