Официальное опубликование правовых актов
ОФИЦИАЛЬНОЕ ОПУБЛИКОВАНИЕ
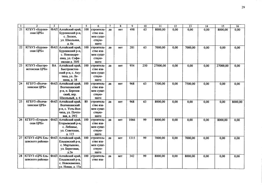
Постановление Правительства Алтайского края от 20.12.2021 № 475
"О внесении изменений в постановление Правительства Алтайского края от 15.12.2020 № 536"
Номер опубликования: 2200202112210009
Дата опубликования: 21.12.2021
Страница №29 из 134:
Увеличить