Официальное опубликование правовых актов
ОФИЦИАЛЬНОЕ ОПУБЛИКОВАНИЕ
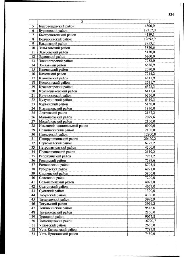
Закон Алтайского края от 01.11.2021 № 98-ЗС
"О внесении изменений в закон Алтайского края "О краевом бюджете на 2021 год и на плановый период 2022 и 2023 годов"
Номер опубликования: 2200202111010001
Дата опубликования: 01.11.2021
Страница №324 из 341:
Увеличить