Официальное опубликование правовых актов
ОФИЦИАЛЬНОЕ ОПУБЛИКОВАНИЕ
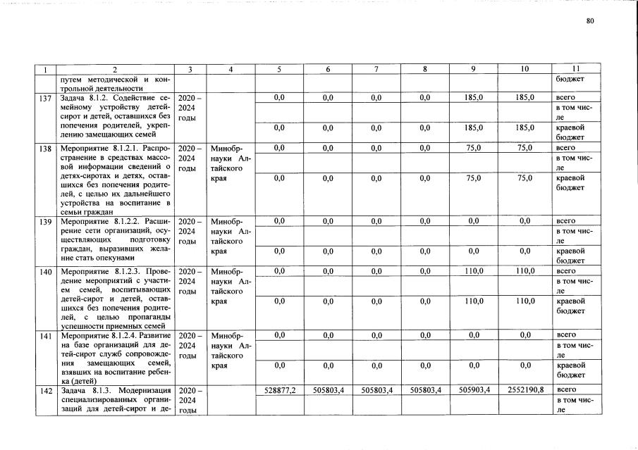
Постановление Правительства Алтайского края от 19.03.2021 № 85
"О внесении изменений в постановление Правительства Алтайского края от 13.12.2019 № 494"
Номер опубликования: 2200202103220002
Дата опубликования: 22.03.2021
Страница №80 из 85:
Увеличить