Официальное опубликование правовых актов
ОФИЦИАЛЬНОЕ ОПУБЛИКОВАНИЕ
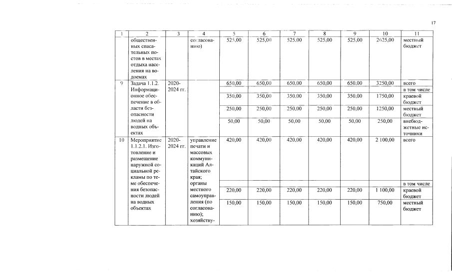
Постановление Правительства Алтайского края от 15.06.2020 № 267
"Об утверждении государственной программы Алтайского края "Защита населения и территорий от чрезвычайных ситуаций, обеспечение пожарной безопасности и безопасности людей на водных объектах"
Номер опубликования: 2200202006180002
Дата опубликования: 18.06.2020
Страница №17 из 47:
Увеличить