Официальное опубликование правовых актов
ОФИЦИАЛЬНОЕ ОПУБЛИКОВАНИЕ
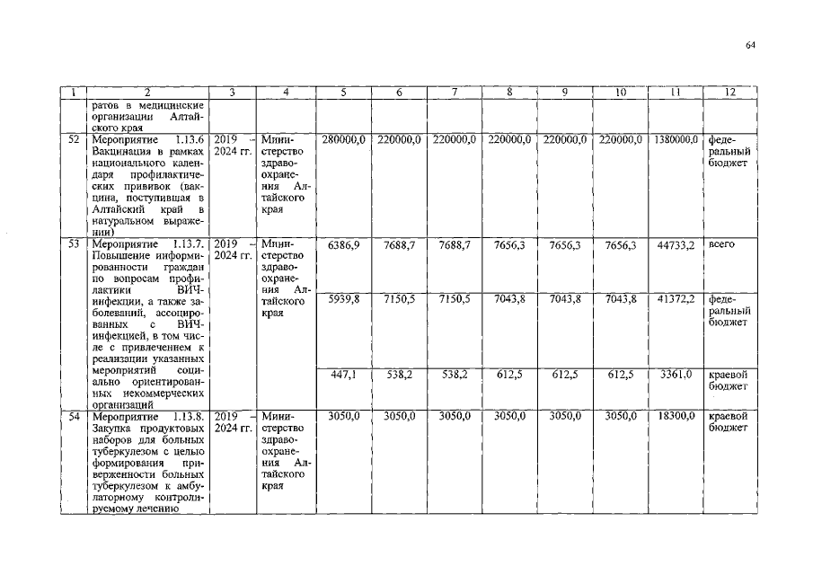
Постановление Правительства Алтайского края от 26.12.2019 № 541
"Об утверждении государственной программы "Развитие здравоохранения в Алтайском крае"
Номер опубликования: 2200201912270001
Дата опубликования: 27.12.2019
Страница №64 из 305:
Увеличить