Официальное опубликование правовых актов
ОФИЦИАЛЬНОЕ ОПУБЛИКОВАНИЕ
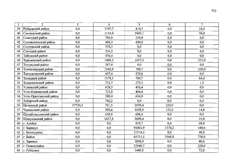
Закон Алтайского края от 03.12.2019 № 102-ЗС
"О краевом бюджете на 2020 год и на плановый период 2021 и 2022 годов"
Номер опубликования: 2200201912030001
Дата опубликования: 03.12.2019
Страница №772 из 797:
Увеличить