Официальное опубликование правовых актов
ОФИЦИАЛЬНОЕ ОПУБЛИКОВАНИЕ
Постановление Правительства Алтайского края от 26.07.2019 № 287
"Об установлении зон охраны объекта культурного наследия регионального значения "Особняк купеческий", нач. XX в., расположенного по адресу: Алтайский край, г. Барнаул, ул. Интернациональная, 118а / просп. Красноармейский, 28, утверждении режимов использования земель и требований к градостроительным регламентам в границах территорий данных зон"
Номер опубликования: 2200201907290001
Дата опубликования: 29.07.2019
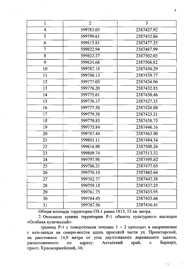
Страница №5 из 28:
Увеличить