Официальное опубликование правовых актов
ОФИЦИАЛЬНОЕ ОПУБЛИКОВАНИЕ
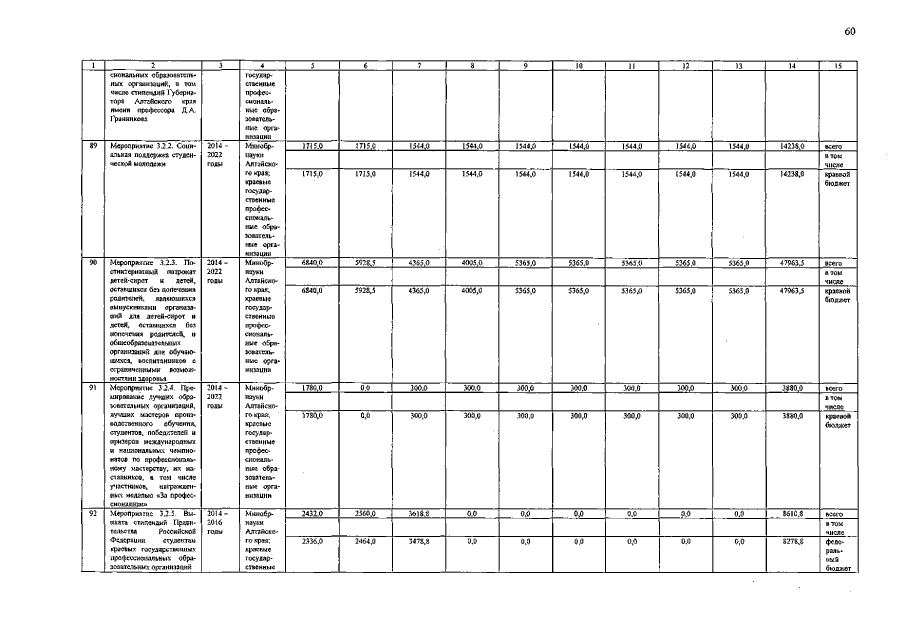
Постановление Правительства Алтайского края от 04.07.2019 № 251
"О внесении изменений в постановление Администрации края от 20.12.2013 № 670"
Номер опубликования: 2200201907080001
Дата опубликования: 08.07.2019
Страница №60 из 88:
Увеличить