Официальное опубликование правовых актов
ОФИЦИАЛЬНОЕ ОПУБЛИКОВАНИЕ
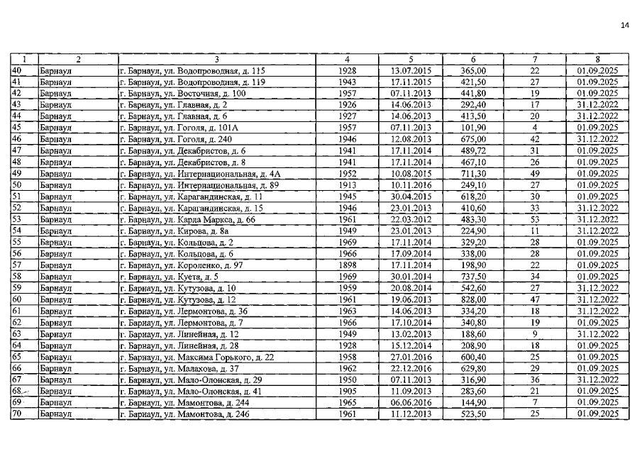
Постановление Правительства Алтайского края от 01.04.2019 № 106
"Об утверждении краевой адресной программы "Переселение граждан из аварийного жилищного фонда" на 2019–2025 годы"
Номер опубликования: 2200201904040002
Дата опубликования: 04.04.2019
Страница №14 из 39:
Увеличить