Официальное опубликование правовых актов
ОФИЦИАЛЬНОЕ ОПУБЛИКОВАНИЕ
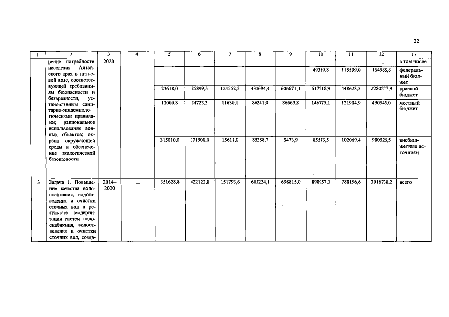
Постановление Правительства Алтайского края от 18.12.2018 № 456
"О внесении изменений в постановление Администрации Алтайского края от 05.11.2014 № 508"
Номер опубликования: 2200201812190002
Дата опубликования: 19.12.2018
Страница №22 из 113:
Увеличить