Официальное опубликование правовых актов
ОФИЦИАЛЬНОЕ ОПУБЛИКОВАНИЕ
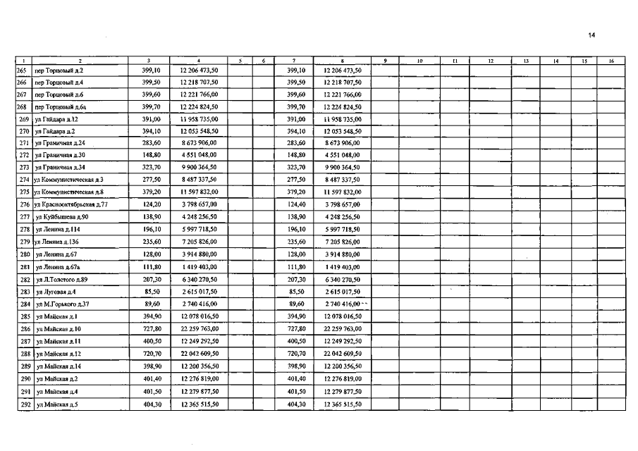
Постановление Правительства Алтайского края от 12.12.2018 № 443
"О внесении изменения в постановление Администрации Алтайского края от 26.03.2013 № 178"
Номер опубликования: 2200201812130006
Дата опубликования: 13.12.2018
Страница №14 из 25:
Увеличить