Официальное опубликование правовых актов
ОФИЦИАЛЬНОЕ ОПУБЛИКОВАНИЕ
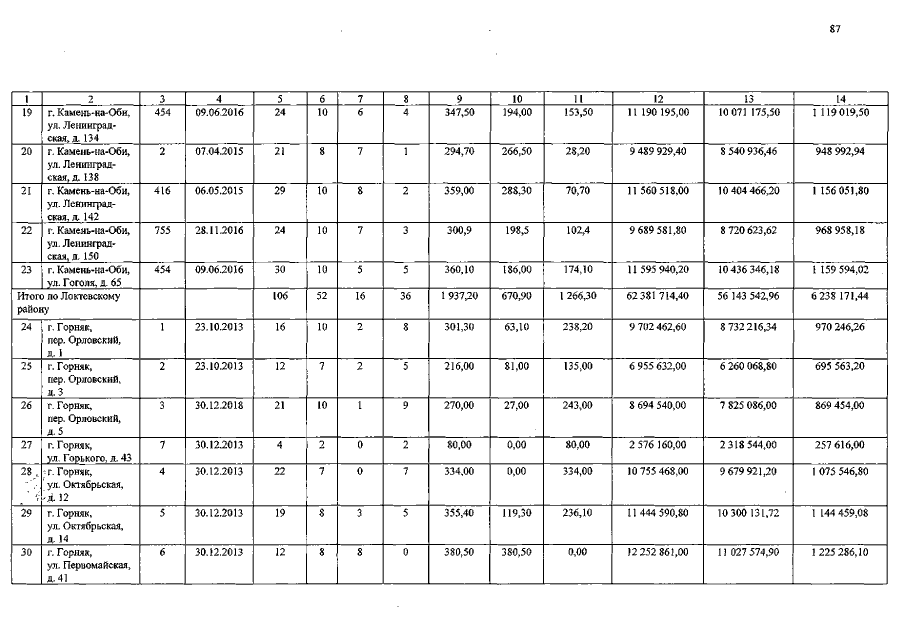
Постановление Правительства Алтайского края от 27.11.2018 № 430
"О внесении изменений в постановление Администрации края от 31.10.2014 № 503"
Номер опубликования: 2200201811290001
Дата опубликования: 29.11.2018
Страница №87 из 88:
Увеличить