Официальное опубликование правовых актов
ОФИЦИАЛЬНОЕ ОПУБЛИКОВАНИЕ
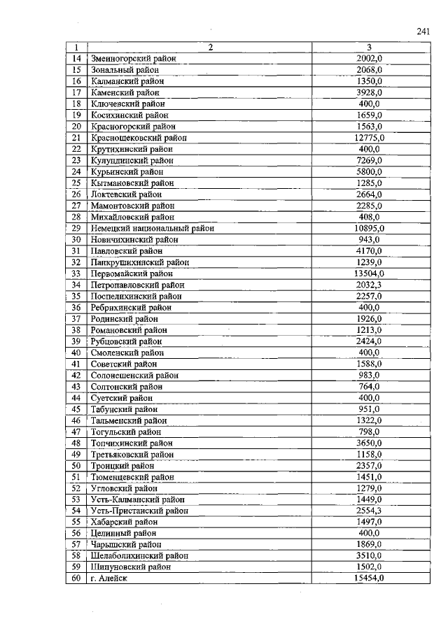
Закон Алтайского края от 31.10.2018 № 75-ЗС
"О внесении изменений в закон Алтайского края "О краевом бюджете на 2018 год и на плановый период 2019 и 2020 годов"
Номер опубликования: 2200201811010001
Дата опубликования: 01.11.2018
Страница №241 из 246:
Увеличить