Официальное опубликование правовых актов
ОФИЦИАЛЬНОЕ ОПУБЛИКОВАНИЕ
Постановление Правительства Алтайского края от 13.09.2018 № 365
"О внесении изменений в постановление Администрации Алтайского края от 14.01.2014 № 7"
Номер опубликования: 2200201809140001
Дата опубликования: 14.09.2018
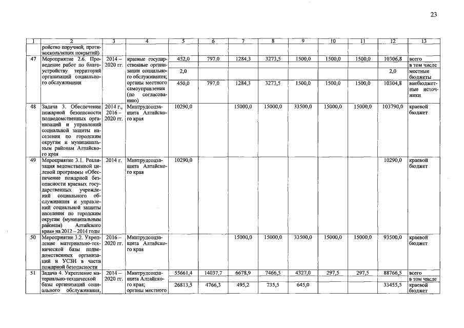
Страница №23 из 44:
Увеличить