Официальное опубликование правовых актов
ОФИЦИАЛЬНОЕ ОПУБЛИКОВАНИЕ
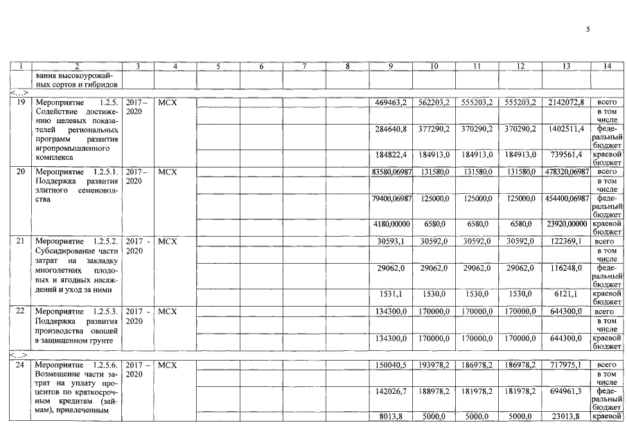
Постановление Правительства Алтайского края от 20.11.2017 № 418
"О внесении изменений в постановление Администрации Алтайского края от 05.10.2012 № 523"
Номер опубликования: 2200201711230004
Дата опубликования: 23.11.2017
Страница №5 из 11:
Увеличить