Официальное опубликование правовых актов
ОФИЦИАЛЬНОЕ ОПУБЛИКОВАНИЕ
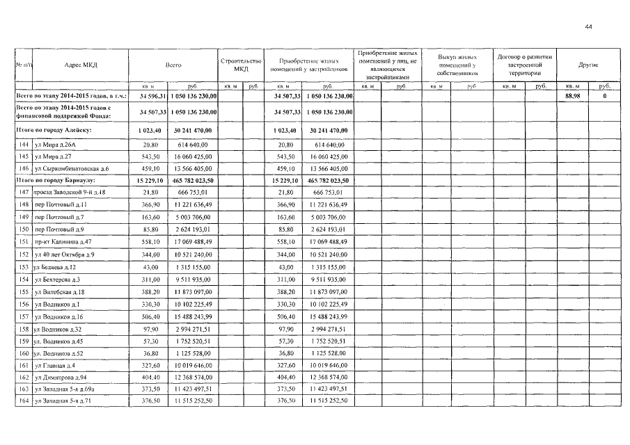
Постановление Правительства Алтайского края от 29.09.2017 № 353
"О внесении изменений в постановление Администрации края от 26.03.2013 № 178"
Номер опубликования: 2200201710030002
Дата опубликования: 03.10.2017
Страница №44 из 66:
Увеличить