Официальное опубликование правовых актов
ОФИЦИАЛЬНОЕ ОПУБЛИКОВАНИЕ
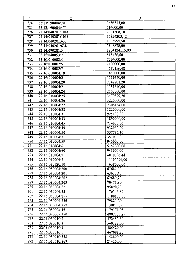
Постановление Администрации Алтайского края от 25.11.2016 № 405
"О утверждении результатов определения кадастровой стоимости земельных участков в составе земель особо охраняемых территорий и объектов Алтайского края"
Номер опубликования: 2200201611280008
Дата опубликования: 28.11.2016
Страница №17 из 24:
Увеличить