Официальное опубликование правовых актов
ОФИЦИАЛЬНОЕ ОПУБЛИКОВАНИЕ
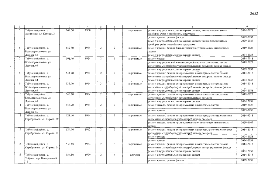
Постановление Администрации Алтайского края от 08.07.2015 № 271 "О внесении изменений в постановление Администрации края от 27.03.2014 № 146"
Номер опубликования: 2200201507150001
Дата опубликования: 15.07.2015
Страница №2652 из 2719:
Увеличить