Официальное опубликование правовых актов
ОФИЦИАЛЬНОЕ ОПУБЛИКОВАНИЕ
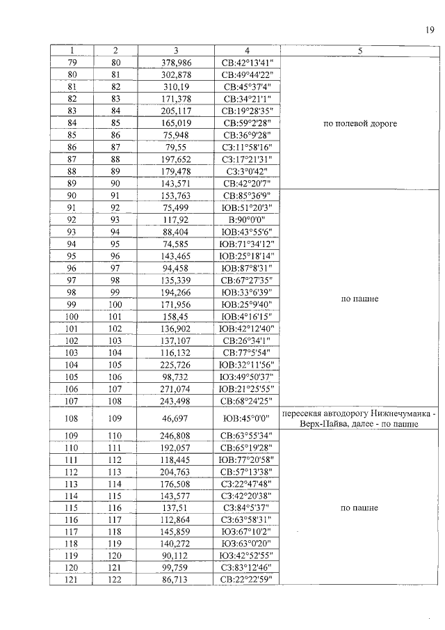
Закон Алтайского края от 30.06.2015 № 61-ЗС
"О преобразовании муниципальных и административно-территориальных образований Нижнепайвинский сельсовет Баевского района Алтайского края и Нижнечуманский сельсовет Баевского района Алтайского края"
Номер опубликования: 2200201507030006
Дата опубликования: 03.07.2015
Страница №19 из 25:
Увеличить