Официальное опубликование правовых актов
ОФИЦИАЛЬНОЕ ОПУБЛИКОВАНИЕ
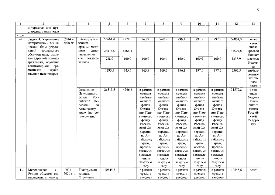
Постановление Администрации Алтайского края от 24.06.2015 № 240
"О внесении изменений в постановление Администрации края от 14.01.2014 № 7"
Номер опубликования: 2200201506250011
Дата опубликования: 25.06.2015
Страница №6 из 12:
Увеличить