Официальное опубликование правовых актов
ОФИЦИАЛЬНОЕ ОПУБЛИКОВАНИЕ
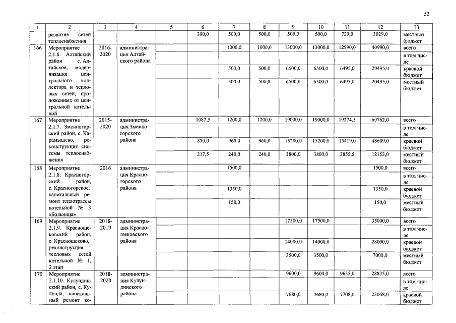
Постановление Администрации Алтайского края от 21.05.2015 № 197
"О внесении изменений в постановление Администрации края от 05.11.2014 № 508"
Номер опубликования: 2200201505250001
Дата опубликования: 25.05.2015
Страница №52 из 115:
Увеличить