Официальное опубликование правовых актов
ОФИЦИАЛЬНОЕ ОПУБЛИКОВАНИЕ
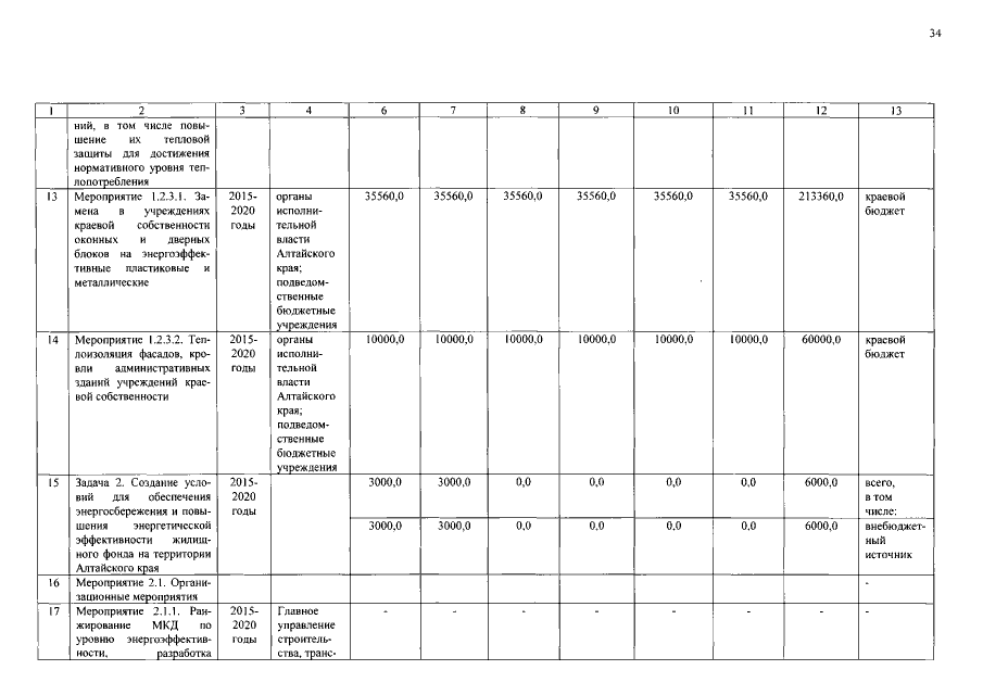
Постановление Администрации Алтайского края от 13.10.2014 № 468
"Об утверждении государственной программы Алтайского края "Энергоэффективность и развитие электроэнергетики" на 2015-2020 годы"
Номер опубликования: 2200201410150006
Дата опубликования: 15.10.2014
Страница №34 из 82:
Увеличить