Официальное опубликование правовых актов
ОФИЦИАЛЬНОЕ ОПУБЛИКОВАНИЕ
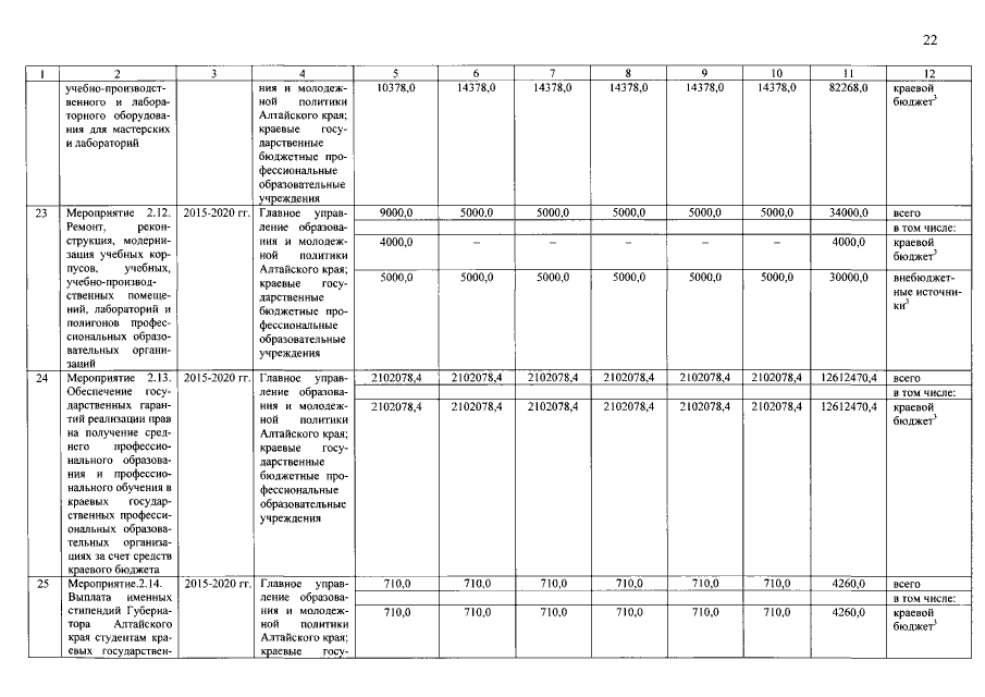
Постановление Администрации Алтайского края от 10.10.2014 № 462
"Об утверждении государственной программы Алтайского края "Кадры для экономики" на 2015 - 2020 годы"
Номер опубликования: 2200201410150001
Дата опубликования: 15.10.2014
Страница №22 из 57:
Увеличить