Официальное опубликование правовых актов
ОФИЦИАЛЬНОЕ ОПУБЛИКОВАНИЕ
Приказ Министерства экономического развития и имущественных отношений Чувашской Республики от 04.12.2025 № 288
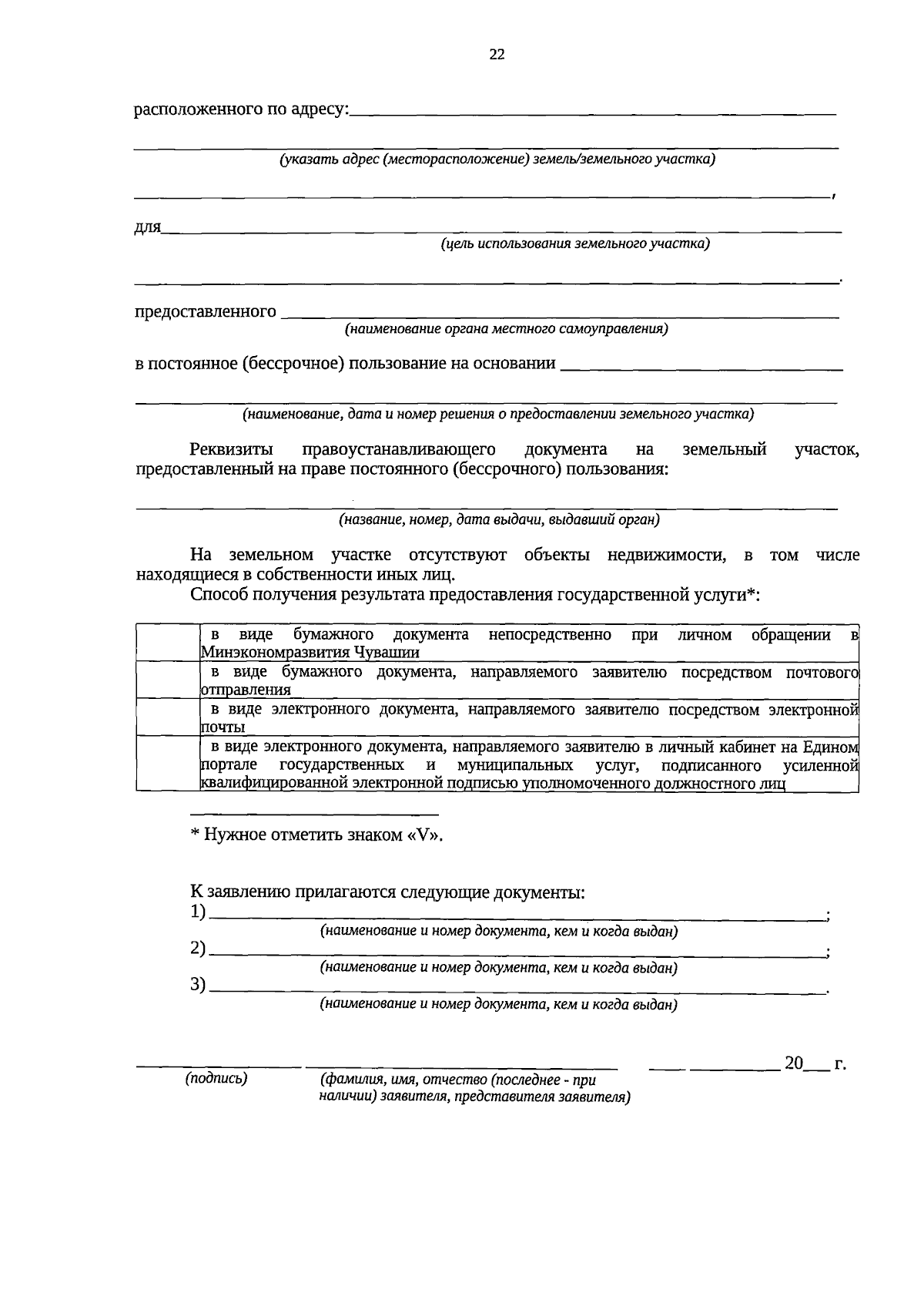
"Об утверждении Административного регламента предоставления Министерством экономического развития и имущественных отношений Чувашской Республики государственной услуги "Готовит проекты решений Кабинета Министров Чувашской Республики о передаче религиозным организациям в собственность бесплатно земельных участков из земель сельскохозяйственного назначения, предоставленных религиозным организациям на праве постоянного (бессрочного) пользования до введения в действие Земельного кодекса Российской Федерации и предназначенных для сельскохозяйственного производства, при условии отсутствия у Министерства экономического отношения и имущественных отношений Чувашской Республики информации о выявленных в рамках федерального государственного земельного контроля (надзора) и неустраненных нарушениях законодательства Российской Федерации при использовании таких земельных участков"
(Зарегистрирован 23.12.2025 № 10884)
Номер опубликования: 2101202512240001
Дата опубликования: 24.12.2025
Страница №22 из 23:
Увеличить