Официальное опубликование правовых актов
ОФИЦИАЛЬНОЕ ОПУБЛИКОВАНИЕ
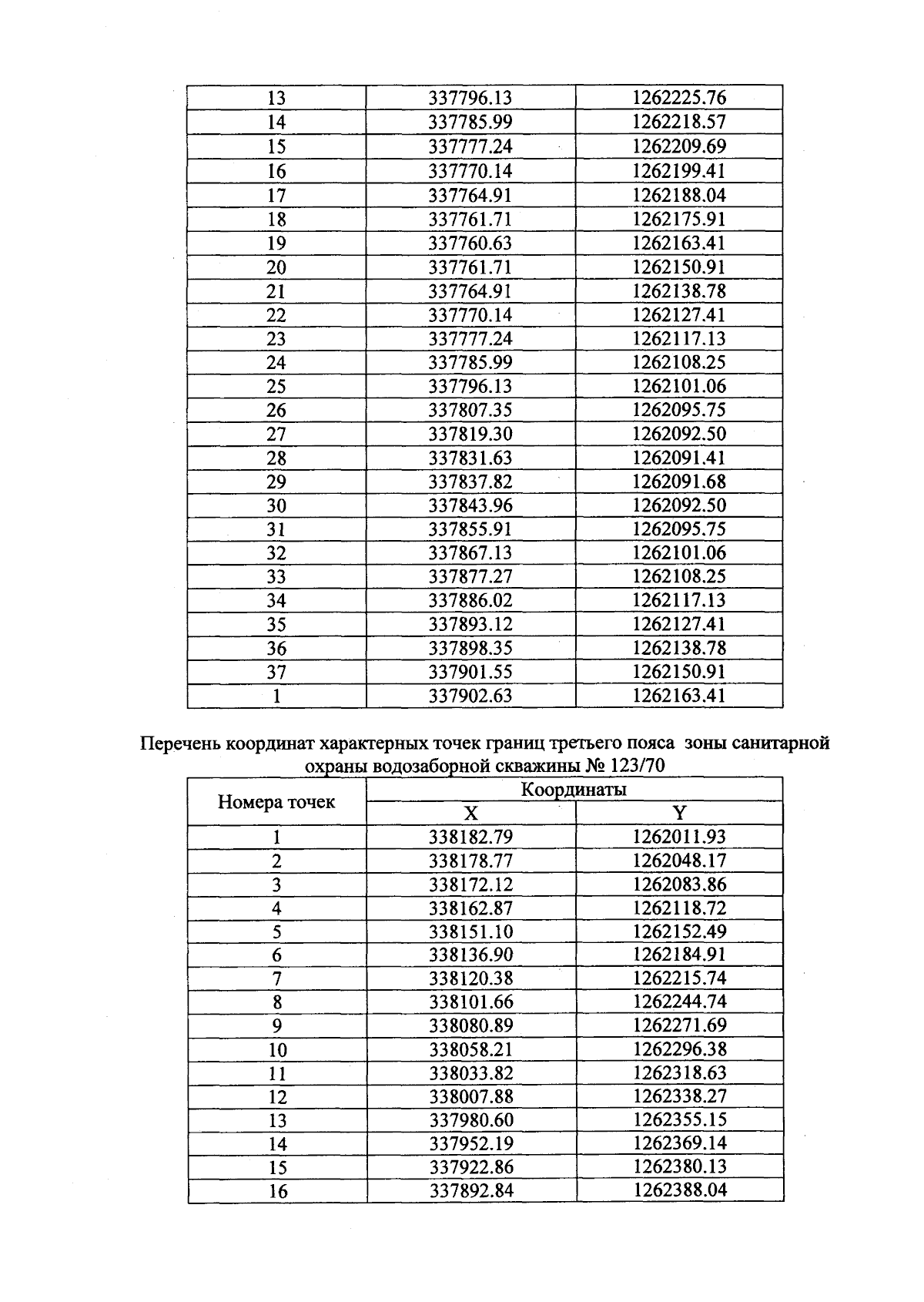
Приказ Министерства природных ресурсов и экологии Чувашской Республики от 08.10.2025 № 722
"Об установлении зоны санитарной охраны водозаборной скважины № 123/70, расположенной на западной окраине д. Подлесное Янтиковского муниципального округа Чувашской Республики"
(Зарегистрирован 21.10.2025 № 10715)
Номер опубликования: 2101202510230003
Дата опубликования: 23.10.2025
Страница №4 из 6:
Увеличить